Export this Abstract | Print this Abstract |
Add to my preferred Abstracts list |
My preferred Abstracts list (0) |
Back to Search
Enhanced stability and super-saturation of felodipine amorphous solid dispersions
- In: Poster Presentation
- At: Stockholm (Sweden) (2017)
- Type: Poster
- Poster code: P-C-018-Monday
- By: FERRAND-DRAKE, Gustav (Göteborg, Sweden)
- Co-author(s): Gustav Ferrand-Drake: Applied Physics, Chalmers University of Technology, Gothenburg, Sweden
Aleksandar Matic: Applied Physics, Chalmers University of Technology, Gothenburg, Sweden
Joel Wanemark: Applied Physics, Chalmers University of Technology, Gothenburg, Sweden
Josef Rizell: Applied Physics, Chalmers University of Technology, Gothenburg, Sweden
Anna Viridén: Pharmaceutical Technology and Development, AstraZeneca, Mölndal, Sweden
Hanna Matic: Pharmaceutical Technology and Development, AstraZeneca, Mölndal, Sweden
Anders Borde: Pharmaceutical Technology and Development, AstraZeneca, Mölndal, Sweden
Johan Breitholz: Pharmaceutical Technology and Development, AstraZeneca, Mölndal, Sweden
Anette Larsson: Applied Chemistry, Chalmers University of Technology, Gothenburg, Sweden
Susanna Abrahamsén-Alami: Pharmaceutical Technology and Development, AstraZeneca, Mölndal, Sweden - Abstract:
Backgrounds
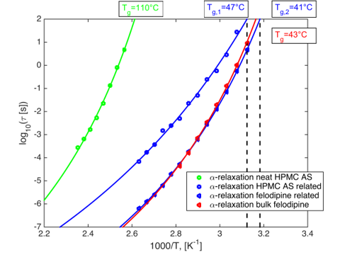
..Amorphous Solid Dispersions (ASD) improve the dissolution rate and gives rise to super-saturation of otherwise insufficiently soluble crystalline pharmaceuticals. For ASDs to be viable there must be sufficient stability of the amorphous pharmaceutical against crystallization during oral administration and during storage. It is not known
The access to the whole abstract and if available the presentation file is available to FIP members and to congress participants of that specific congress.
Please login
Last update 4 September 2025