Export this Abstract | Print this Abstract |
Add to my preferred Abstracts list |
My preferred Abstracts list (0) |
Back to Search
Design and preparation of new primaquine amidoesters as potential anticancer drugs
- In: Poster Presentation
- At: Stockholm (Sweden) (2017)
- Type: Poster
- Poster code: P-A-034-Monday
- By: RAJIC DZOLIC, Zrinka (Faculty of Pharmacy and Biochemistry, Department of Medicinal Chemistry, Zagreb, Croatia)
- Co-author(s): Zrinka Rajic Dzolic: Department of Medicinal Chemistry, Faculty of Pharmacy and Biochemistry, Zagreb, Croatia
Maja Beus: Department of Medicinal Chemistry, Faculty of Pharmacy and Biochemistry, Zagreb, Croatia
Branka Zorc: Department of Medicinal Chemistry, Faculty of Pharmacy and Biochemistry, Zagreb, Croatia - Abstract:
Backgrounds
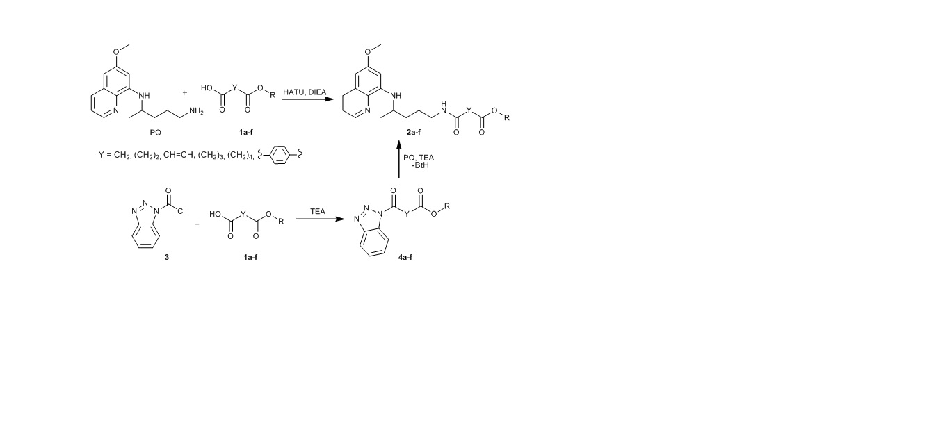
Primaquine (PQ) is a well known antimalarial drug with pronounced antiproliferative activity. Numerous reports corroborate anticancer properties of antimalarial drugs and their usefulness in adjuvant chemotherapies [1], with several antimalarials in the clinical trials [2]. Our research has been focused towards new PQ derivatives as.. The access to the whole abstract and if available the presentation file is available to FIP members and to congress participants of that specific congress.
Please login
Last update 4 September 2025